■サポートのお願い AIDBを便利だと思っていただけた方に、任意の金額でサポートしていただけますと幸いです。
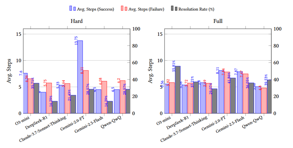
推論特化型LLM(推論モデル)の弱点はどこか ステップ数より要件カバー率が成否を分ける
Copyright © AIDB All rights reserved.